15 points
What Is The Internet? by Frances Sharp
July 18th, 2006 11:02 PM
"What is the Internet? Why would you want to use it?"
"Main Entry: In·ter·net
Pronunciation: 'in-t&r-"net
Function: noun
: an electronic communications network that connects computer networks and organizational computer facilities around the world"
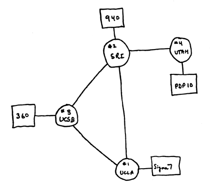
"The Internet (also known simply as the Net) can be briefly understood as "a network of networks"."
"The Internet, or Interweb, is defined as the World's largest pornography P2P network made by Homerowed."
"The Internet is a global communications network consisting of thousands of networks typically interconnected by fiber optic cabling."
"The Internet isn't just about data; it is an international community of people who share information, interact, and communicate. From the point of view of its users, the Internet is a vast collection of resources--people, information, and multimedia."
"Many people think the Internet and the World Wide Web are the same thing. They're not! The World Wide Web is what you are browsing right now. It is one of the many features of the Internet."
"Note: The term internet (spelled with a lower case "i") is distinguished from the Internet (spelled with the "I" capitalized). "The Internet" refers to a specific, historic, ubiquitous worldwide digital communications network."
"Main Entry: In·ter·net
Pronunciation: 'in-t&r-"net
Function: noun
: an electronic communications network that connects computer networks and organizational computer facilities around the world"
"The Internet (also known simply as the Net) can be briefly understood as "a network of networks"."
"The Internet, or Interweb, is defined as the World's largest pornography P2P network made by Homerowed."
"The Internet is a global communications network consisting of thousands of networks typically interconnected by fiber optic cabling."
"The Internet isn't just about data; it is an international community of people who share information, interact, and communicate. From the point of view of its users, the Internet is a vast collection of resources--people, information, and multimedia."
"Many people think the Internet and the World Wide Web are the same thing. They're not! The World Wide Web is what you are browsing right now. It is one of the many features of the Internet."
"Note: The term internet (spelled with a lower case "i") is distinguished from the Internet (spelled with the "I" capitalized). "The Internet" refers to a specific, historic, ubiquitous worldwide digital communications network."





